Список задач системы RESHAEM.NET
В этом разделе находится список всех задач, решаемых (решенных) в системе. Количество заказов, выводимых на странице, вы можете задать в своем профиле. По умолчанию на странице 30 заказов. Для фильтрации заказов используйте форму, приведенную ниже.
Для управления своим заказом нажмите иконку
слева от его номера!
|
ID |
Условие |
Решение |
Заказчик |
Решающий |
Статус |
Цена |
Срок |
Предмет |
Раздел |
|
|
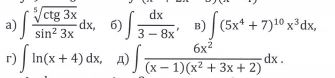
 | 121367 | Условие | Решение | oly211 | Paddi | Оплачен | - | 06.02 06:00 | Матем-ка | Интегралы |  |  |
 Подождите, идет загрузка... |
Решение задачи ID=121367 недоступно для скачивания
 |
Решение этой задачи недоступно для скачивания. Вы можете купить решение за 100 RUR, примеры решений исполнителя можете посмотреть тут.
Купить решение →
Подождите, идет загрузка...Куплено!
|
|
 | 121364 | Условие | Решение | oly211 | Solwer | Оплачен | - | 05.02 23:00 | Матем-ка | Пределы |  |  |
 Подождите, идет загрузка... |
Решение задачи ID=121364 недоступно для скачивания
 |
Решение этой задачи недоступно для скачивания. Вы можете купить решение за 45 RUR, примеры решений исполнителя можете посмотреть тут.
Купить решение →
Подождите, идет загрузка...Куплено!
|
|
 | 120893 | Условие | Решение | oly211 | Solwer | Оплачен | - | 01.02 00:00 | Матем-ка | Другое |  |  |
 Подождите, идет загрузка... |
Решение задачи ID=120893 недоступно для скачивания
 |
Решение этой задачи недоступно для скачивания. Вы можете купить решение за 45 RUR, примеры решений исполнителя можете посмотреть тут.
Купить решение →
Подождите, идет загрузка...Куплено!
|
|
 | 120427 | Условие | Решение | oly211 | ramburak | Оплачен | - | 26.01 20:00 | Статистика | Не указан |  |  |
 Подождите, идет загрузка... |
Решение задачи ID=120427 недоступно для скачивания
 |
Решение этой задачи недоступно для скачивания. Вы можете купить решение за 75 RUR, примеры решений исполнителя можете посмотреть тут.
Купить решение →
Подождите, идет загрузка...Куплено!
|
|