Список задач системы RESHAEM.NET
В этом разделе находится список всех задач, решаемых (решенных) в системе. Количество заказов, выводимых на странице, вы можете задать в своем профиле. По умолчанию на странице 30 заказов. Для фильтрации заказов используйте форму, приведенную ниже.
Для управления своим заказом нажмите иконку
слева от его номера!
| ID | Условие | Решение | Заказчик | Решающий | Статус | Цена | Срок | Предмет | Раздел | |||
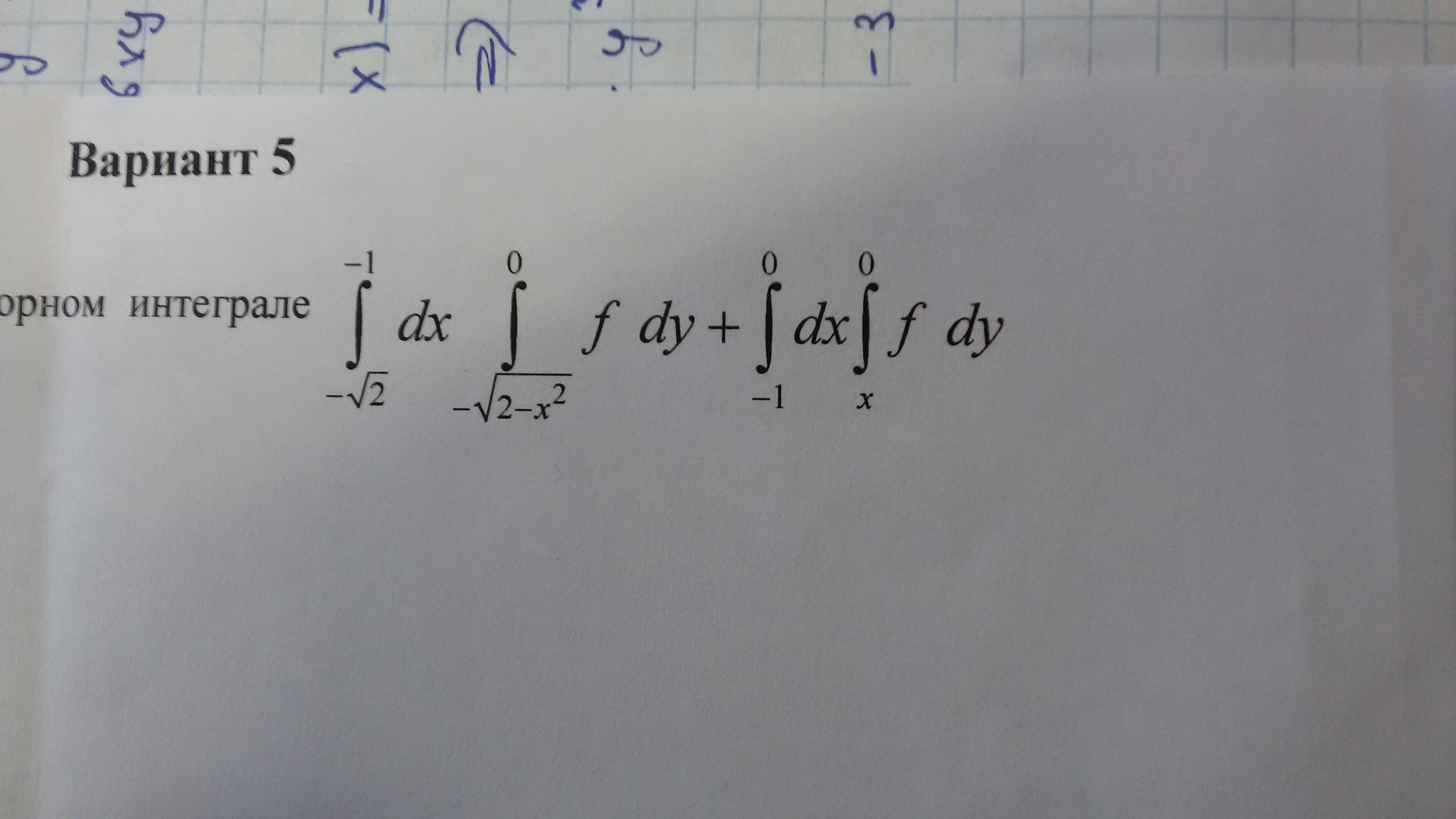
| 151119 | Условие | Решение | sergfun134 | Katie | Оплачен | - | 26.12 12:00 | Матем-ка | Интегралы | ![]() | ![]() |





в самом правом столбце в строке конкретного заказа. 





Подождите, идет загрузка...