Список задач системы RESHAEM.NET
В этом разделе находится список всех задач, решаемых (решенных) в системе. Количество заказов, выводимых на странице, вы можете задать в своем профиле. По умолчанию на странице 30 заказов. Для фильтрации заказов используйте форму, приведенную ниже.
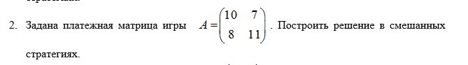
Для управления своим заказом нажмите иконку
слева от его номера!
| ID | Условие | Решение | Заказчик | Решающий | Статус | Цена | Срок | Предмет | Раздел | |||
| 179731 | Условие | Решение | artem1996 | Michaelsv | Оплачен | - | 23.12 10:00 | Мат.мет.эк. | Не указан | ![]() | ![]() | |
| 169317 | Условие | Решение | artem1996 | plv | Оплачен | - | 03.07 23:00 | Сопромат | Не указан | ![]() | ![]() |





в самом правом столбце в строке конкретного заказа. 





Подождите, идет загрузка...