Список задач системы RESHAEM.NET
В этом разделе находится список всех задач, решаемых (решенных) в системе. Количество заказов, выводимых на странице, вы можете задать в своем профиле. По умолчанию на странице 30 заказов. Для фильтрации заказов используйте форму, приведенную ниже.
Для управления своим заказом нажмите иконку
слева от его номера!
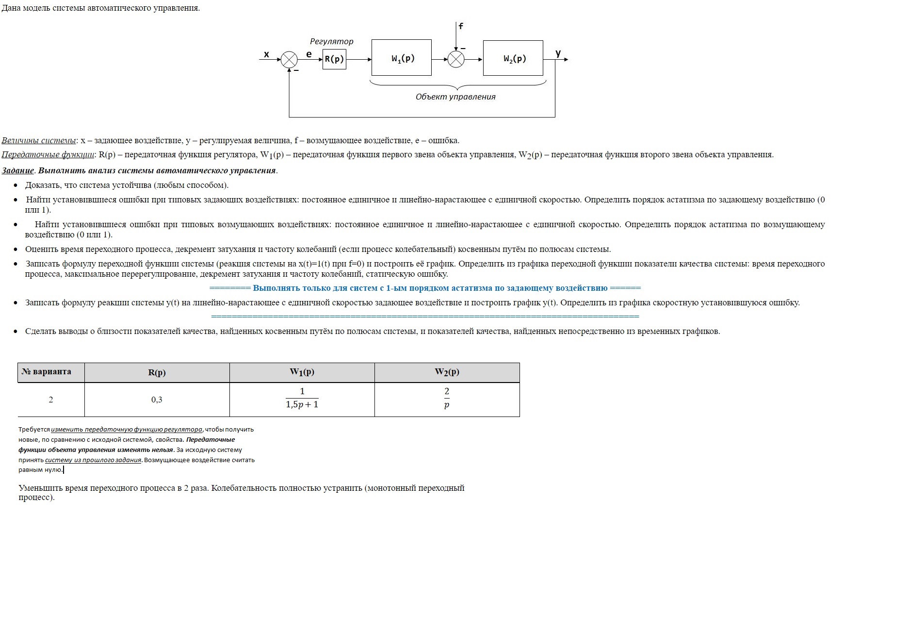
| ID | Условие | Решение | Заказчик | Решающий | Статус | Цена | Срок | Предмет | Раздел | |||
| 181803 | Условие | Решение | bananjke1 | Conakry | Оплачен | - | 10.01 18:00 | ТАУ | Другое | ![]() | ![]() | |
| 181791 | Условие | Решение | bananjke1 | Conakry | Оплачен | - | 10.01 17:00 | ТАУ | Другое | ![]() | ![]() | |
| 178811 | Условие | Решение | bananjke1 | Conakry | Оплачен | - | 26.12 05:00 | ТАУ | Не указан | ![]() | ![]() |





в самом правом столбце в строке конкретного заказа. 





Подождите, идет загрузка...